Duda respecto al tema 1.4 Permutaciones distinguibles

  • Duda respecto al tema 1.4 Permutaciones distinguibles

    Posted by Sixto Adolfo Gorjón on 23 noviembre, 2021 en 12:01 pm

    No me quedo claro la parte donde el resultado de la multiplicación de 10*9*…*1=14!

    y tampoco el por que buscamos el 1 y utilizamos su formula de (n-r)!/(n-r)!

    me podrían apoyar con ese punto por favor.

    Angel Sánchez respondido 4 años, 5 meses 2 Miembros · 5 Respuestas
  • 5 Respuestas
  • Angel Sánchez

    organizador
    23 noviembre, 2021 en 1:48 pm

    ¿Puedes colocar el link de la clase? Por favor 😀

  • Angel Sánchez

    organizador
    23 noviembre, 2021 en 5:34 pm

    Hola Sixto,

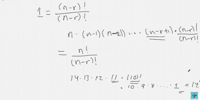
    Hay un momento donde en donde el maestro desea multiplicar la ecuación por un uno, así que el por eso coloca 1 = (n-r)!/(n-r)! Si te fijas (n-r)!/(n-r)! lo de arriba y lo de abajo es lo mismo, y al dividir efectivamente es 1. La idea es simplificar la ecuación.

    10*9*…*1=14! es parte el maestro le sigue en el renglón de abajo, pero en realidad es: 14*13*12*11*10*9*8*7*6*5*4*3*2*1 que es igual a 14! .

    Dime con toda confianza si queda claro, si no le pedimos al maestro @antonio-jose que nos explique con mas detalle.

    • Sixto Adolfo Gorjón

      Miembro
      24 noviembre, 2021 en 8:38 am

      si, lo que no entendia era el por que por 1 queria multiplicar, entonces lo hace para simplificar esa ecuacion, y por otra parte la multiplicacion no la entendia por que en otros ejemplos se multiplicaba y el resultado de multiplicar era una cifra mayor, no por ejemplo 10*9*…1=14!

      si no que en otro ejemplo daria: 3,628…

      no me queda muy claro eso ultimo jaja perdon :p

      • Angel Sánchez

        organizador
        25 noviembre, 2021 en 3:56 pm

        Hola Sixto, es lo mismo. Mira:

        • 14*13*12*11*10*9*8*7*6*5*4*3*2*1 = 14!
        • 14*13*12*11*10*9*8*7*6*5*4*3*2*1 = 87,178,291,200
        • 87,178,291,200 = 14!

        Si te das cuenta todo es lo mismo expresado diferente, 87,178,291,200 es el resultado de toda la multiplicación.

        Espero esto haya resolvió tu duda, si no con confianza sigue preguntando. Tambien te recomiendo el Curso de Alegra 😀

Inicia sesión para responder.

Start of Discussion
0 de 0 respuestas Junio 2018
Ahora